利用熱應力場模擬分析對壓鑄模具局部區域壽命進行估算
孫永明,陳振宇,陳國恩,李四娣,汪學陽
(廣東鴻圖科技股份有限公司,廣東高要 526108)
摘要:壓鑄模具表面在壓鑄生產過程中周期性的重復受到拉應力、壓應力影響從而導致出現熱疲勞。本文利用MAGMASOFT軟件對某大型動力總成部件模具熱應力場進行數值模擬分析,通過熱疲勞壽命計算可以估算出模具距離進澆口不同距離的部位實際使用壽命,并針對使用壽命較低區域提出設計優化措施,從而提高整套模具使用壽命。
關鍵詞:熱應力分析;模具壽命;鑲件;
中圖分類號: 文獻標識碼:A 文章編號:
中圖分類號: 文獻標識碼:A 文章編號:
The simulation analysis of thermalstress field which is used to estimate the local life of die - casting dies
Yongmingsun,Zhenyu chen,Guoen chen,Sidi li,Xueyangwang
(GuangdongHongtu Technology(Holdings) Co.,Ltd., Guangdong 526108)
Keywords:thermal stress analysis; Die life; mold Insert;
Abstract:The surface of die - casting mould is affected by tensile stress andcompressive stress periodically in the process of die-casting which will leadto thermal fatigue. In thispaper, MAGMASOFT software is used to conduct numerical simulation analysis ofthe thermal stress field of a large powertrain component mold. The actualservice life of the parts with different distance from the mold to the gate canbe estimated by calculating the thermal fatigue life. Finally, designoptimization measures for areas with low servicelife are put forward to improve the service lifeof the whole mold.
4 模具使用壽命估算
4.1金屬熱疲勞壽命計算的方法
模具在壓鑄循環生產周期內,模具表面反復的進行急熱、急冷熱循環,由于模具表面溫度與模具內部溫度變化幅度的差異,導致模具表面反復的交替出現壓縮熱應力及拉應力,從而產生循環的交變熱應力和應變。當模具表面產生的交變熱應力超過了屈服強度時,就會產生熱疲勞微裂痕,隨著循環次數的增加,微裂痕會在模具表面或向內部出現由慢到快的擴展過程,從導致模具表面出現龜裂或開裂。當模具表面出現嚴重的龜裂紋會直接影響鑄件成形面質量及尺寸精度,生產過程中易出現燒傷、粘料現象,影響生產效率及增加維護成本,更嚴重的直接導致模具鑲塊開裂至使模具使用功能喪失[4]。
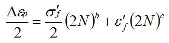
根據金屬疲勞學可知,金屬部件出現熱疲勞微裂痕的前提條件是產生了塑性變形,金屬部件應變交集處所產生的最大局部應變及應力決定了部件的疲勞壽命。本文所研究的壓鑄模具疲勞壽命,可以認為最大局部應變和應力相同區域其疲勞壽命也相同。通過查詢相關文獻資料可知H13鋼的斷裂韌性在100~160MPam,因此可通過低周疲勞的應變-壽命()曲線對模具熱疲勞壽命進行估算[5]。以Coffin-Mansio方程作為應變-壽命曲線表達式為:

(6)
式中:為塑性應變幅;為疲勞強度系數;b為疲勞強度指數;
N為循環疲勞壽命;為疲勞延性系數;c為疲勞延性指數;
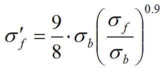
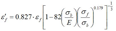
四點關聯法、通用斜率法和10%規律法被廣泛運用于利用拉伸性能數據估算材料的疲勞性能常數。本文研究采用四點關聯估算法對H13壓鑄模具鋼材料進行使用壽命估算,相關變量計算表達式為:

(7)

(8)

(9)

(10)
式中:為拉伸真實斷裂應力,為抗拉強度,為斷裂延性應變,E為彈性模量。
4.2鋁合金變速箱殼體壓鑄模具使用壽命估算
如4.1所述,通過對Coffin-Mansio方程求解來對鋁合金變速箱殼體壓鑄模具的使用壽命進行估算。從相關技術文獻資料可查出方程式計算過程所需的數據,H13鋼彈性模量為200000MPa,抗拉強度為1580MPa,真實拉伸斷裂應力為1620MPa,斷裂延性應變為0.25mm[6],將所查詢到的數據分別代入表達式(7)至表達式(10),可以得到H13鋼的疲勞強度系數、疲勞強度指數b、疲勞延性系數及疲勞延性指數c,最后將計算得出的相關性能參數代入表達式(6)即可描繪出H13模具鋼的應變-壽命曲線圖,具體如下圖3所示:

圖3 H13模具鋼材料應變-壽命關系曲線圖
根據應力場模擬分析結果可知,A-B區域、C-D區域及E-F區域所發生的最大應變值分別為0.034mm、0.025mm及0.022mm,將應變數值代入表達式(4-5)可以估算出,模具對應部位使用壽命分別約為45,000模次、90,000模次及100,000模次。
4.5 模具壽命延長的改善措施
熱疲勞失效是目前模具失效的主要失效模式。模具的熱疲勞失效往往是由模具局部出現了一個或多個熱疲勞源,當重復循環熱沖擊所產生的的應力超過了模具表面的屈服強度后,模具表面發生塑性變形從而形成微裂痕,并在后續生產過程中出現由慢至快的裂痕擴散,從而導致模具報廢。因此針對模具疲勞失效總是在某一區域先產生的特點,可以對失效的源頭部位進行預測,并針對局部區域的模具進行對應改善措施以延長模具整體使用壽命。
本文所研究的模具整體采用H13模具鋼材料,根據4.3及4.4章節對模具應力分析及壽命估算結果,對模具靠近進澆口區域采取的措施有:
(1)模具局部進行切割鑲件處理。
局部切割鑲件的好處:局部鑲件切割可以使模具局部冷卻系統加工過程更簡單,冷卻點距離模具成形面可以設計到5mm以下,對模具局部高溫區域冷卻效果更好;鑲件結構相對簡單,有利于熱處理過程獲得更好的物理性能及降低表面強化處理的工藝處理難度;局部鑲件可以使用物理性能更好的材料制作,而不會對模具整體制作成本產生太大影響;鑲件提前老化失效方便重新制作并替換,延長模具整體使用壽命[6]。本文所研究的變速箱殼體模具局部鑲件設計具體如圖4-4所示:

圖4-4 變速箱殼體模具鑲件設計
(2)局部采用獨立高壓點冷設計。點冷設計如圖4-5所示:

圖 4-5 鑲件冷卻管道設計
(3)鑲件進行表面強化處理。主要方案為對鑲件進行拋丸及離子氮化處理,模具表面通過拋丸處理,可以在其表面形成層致密的壓應力層,從而提高抗疲勞強度,另外拋丸還可以將模具在加工過程中形成的加工紋路去除,減少應力集中點。
(4)選用彈性模量E更大,韌性、熱疲勞抗力及抗氧化性更好的8418模具鋼材進行鑲件制作;
4.6 模具壽命統計及驗證
通過生產管理ERP系統對模具實際生產使用壽命統計,本文所研究的變速箱殼體模具實際生產為92,762模次,模具停用報廢處理。鑲件在實際生產過程中生產了53,164模次后進行了新鑲件的更換,鑲件失效模式為表面龜裂嚴重,鑄點嚴重影響到產品外觀質量,并由于表面出現冷卻水滲漏,導致鑲件失去使用功能,具體如圖圖4-6及圖4-7所示。圖4-6為殼體鑲件成型毛坯面龜裂狀態,可以看出鑲件成型毛坯面的鑄點明顯比金屬液充填中末端毛坯面的鑄點要多,龜裂的更嚴重,已嚴重影響產品毛坯外觀質量及產品使用性能。圖4-7為鑲件表面實際龜裂失效狀態。考慮到模具在生產實際過程中實際使用壽命受到諸多不確定因素的影響,可以認為模擬結果與實際結果基本吻合,且改善措施有效。

圖 4-6 鑲件成型毛坯面龜裂狀態

圖 4-7 鑲件表面龜裂狀態
總結
本文在模具溫度場數值模擬結果的基礎上,對模具表面的應力場進行模擬分析。模擬結果表明,模具表面的應力、應變的產生,主要是由于模具表面的溫度的劇烈變化,模具表面在合模金屬液充填凝固過程中,受到吸熱過程與內部溫差所形成的壓縮應力及壓鑄機所提供的鎖模壓應力。在開模后,由于沒有了鎖模約束,模具只受到模具表面熱量散失所帶來的拉應力,應力及應變最大值出現在模具表面溫度變化幅度最大的時候。模具表面在壓鑄生產過程中周期性的受到拉、壓應力影響,從而導致出現熱疲勞。通過熱疲勞壽命計算,模具充填前段與中后段的使用壽命,最后通過實際生產驗證及模具壽命統計,驗證了模擬數據的真實性和有效性。
參考文獻
[1] 廖敦明. 基于有限差分法的鑄件凝固過程熱應力場數值模擬的研究[D].華中科技大學博士學位論文,2002
[2] 虞康. 大型復雜動力總成部件的壓鑄模具的溫度場與應力場研究[D].華中科技大學碩士學位論文,2012
[3] 陳立亮,劉瑞祥,廖敦明,周建新. 壓力/低壓/金屬型鑄造多周期、多階段數值模擬技術的研究與應用[M] 鑄造技術 2006,(06)550~553
[4] 楊裕國等, 壓鑄工藝與模具設計[M].北京機械工業出版社, 1996
[5] 曾正明. 實用工程材料手冊[M]. 北京:機械工業出版社.2001
[6] 翰雄偉,楊金鳳,武友德. 鋁合金壓鑄模具壽命預測研究[J]. 鑄造技術,2013,(34)10:1315~1317
