利用熱應力場模擬分析對壓鑄模具局部區域壽命進行估算
孫永明,陳振宇,陳國恩,李四娣,汪學陽
(廣東鴻圖科技股份有限公司,廣東高要 526108)
摘要:壓鑄模具表面在壓鑄生產過程中周期性的重復受到拉應力、壓應力影響從而導致出現熱疲勞。本文利用MAGMASOFT軟件對某大型動力總成部件模具熱應力場進行數值模擬分析,通過熱疲勞壽命計算可以估算出模具距離進澆口不同距離的部位實際使用壽命,并針對使用壽命較低區域提出設計優化措施,從而提高整套模具使用壽命。
關鍵詞:熱應力分析;模具壽命;鑲件;
中圖分類號: 文獻標識碼:A 文章編號:
中圖分類號: 文獻標識碼:A 文章編號:
The simulation analysis of thermalstress field which is used to estimate the local life of die - casting dies
Yongmingsun,Zhenyu chen,Guoen chen,Sidi li,Xueyangwang
(GuangdongHongtu Technology(Holdings) Co.,Ltd., Guangdong 526108)
Keywords:thermal stress analysis; Die life; mold Insert;
Abstract:The surface of die - casting mould is affected by tensile stress andcompressive stress periodically in the process of die-casting which will leadto thermal fatigue. In thispaper, MAGMASOFT software is used to conduct numerical simulation analysis ofthe thermal stress field of a large powertrain component mold. The actualservice life of the parts with different distance from the mold to the gate canbe estimated by calculating the thermal fatigue life. Finally, designoptimization measures for areas with low servicelife are put forward to improve the service lifeof the whole mold.
壓鑄模具的主要工作環境是高溫、高壓,因此對壓鑄模具提出了熱疲勞強度高、耐腐蝕性好等要求。由于壓鑄模具的制作成本高、周期長,例如類似大型復雜的動力總成模具制作周期往往需要超過120天,模具材料選用H13情況下,成本超過100萬元,因此模具的使用壽命非常的重要。模具的失效形式主要有:塑性變形、熱疲勞、腐蝕、沖蝕及損傷等。實際生產過程中,在多種因素共同作用下影響了模具實際使用壽命,例如材料的選型、材料熱處理工藝、壓鑄工藝條件、表面強化處理、結構設計、模具加工工藝、過程維護保養等。
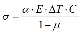
熱疲勞是壓鑄模具早期主要的失效模式。對我國目前壓鑄模具失效原因進行分析統計,發現因熱疲勞導致模具失效占所有模具失效模式近70%。因此,本文主要針對壓鑄模具生產過程中受到熱應力堆積所造成的熱疲勞失效進行研究分析。模具在壓鑄生產過程中,受到金屬液循環的高溫高速沖刷,以致模具表面受到持續的熱沖擊,模具表面在反復地加熱、散熱的過程急熱、急冷的熱量傳遞過程,模具表面溫度與內部溫度變化不同步存在相對膨脹約束作用,導致模具表面溫度上升時候受到壓縮應力,在溫度下降時候受到拉伸應力。所產生的應力可用表達式(4-1)來表示:

(1)
式中:-- 模具受到的應力,Pa;
-- 溫度梯度,°C/mm;
-- 彈性模量,Pa;
-- 模具的熱膨脹系數,1/°C;
-- 模具平均溫度,°C。
1實驗方法
本文研究中使用了MAGMASOFT軟件對模具在壓鑄生產過程中的溫度場進行了數值模擬分析,隨后將溫度場模擬結果轉化為溫度載荷作為輸入,并利用有限元法對模具熱應力場進行數值模擬分析。
2 模型建立及參數設置
2.1分析模型的選擇
根據分析對象的不同熱應力模擬模型有以下幾種:熱彈性模型、熱粘性模型、熱彈塑性模型及熱彈粘塑性模型,其中運用范圍最廣的是熱彈塑性模型。熱彈塑性模型不考慮材料粘性效果,并假設材料在屈服前變形為彈性變形,屈服后的變形為塑性變形。材料的彈性模量及屈服應力只考慮其與溫度計算過程中的函數關系,且在材料臨近液相溫度時,對應彈性模量及屈服應力均為0。本文研究對象為H13的壓鑄模具,根據H13鋼熔點及工作溫度等相關條件分析,本實驗所進行的熱應力分析計算方法應選用熱彈性模型[1]。
2.2模擬初始條件
初始條件的假設:
(1)將熱彈塑性模型中材料應力和應變非線性曲線簡化為雙線性,材料在彈性和塑性階段均為線性;
(2)材料屈服滿足Von Mises屈服條件,即金屬通過累積達到單位體積內的應變能,過渡到塑性狀態,塑性狀態下金屬材料的等效應力為定值,其大小不受應力的狀態所影響;
(3)材料滿足各向同性硬化法則,材料在進入塑性狀態后,加載屈服面相對于初始屈服面的中心及形狀均維持不變;其表達式為:

(2)
式中:k為硬化參數。
(4)材料滿足塑性流動法則,流動法則規定了塑性狀態下塑性應變增量與屈服曲面法向方向的關系,從而預測材料塑性應變的大小及擴展方向;其表達式為:

(3)
式中:為系數;為塑性勢,σ是應力的函數。
2.3模擬計算的本構方程

(4)
變分方程:

(5)
2.3模擬材料的熱物性設置
本文研究的壓鑄模具材料為H13,通過相關文獻資料查閱,鑄件與模具換熱系數設置為1000W/(m2·K);定義環境及噴涂劑溫度為20°C條件下,模具與空氣換熱系數設置為20W/(m2·K),模具與噴涂劑換熱系數設置為600W/(m2·K),澆注溫度為660°C,模具預熱溫度為180°C,冷卻水道參數按模具3D數模結構[2];
3 數值模擬結果分析
由式(1)可知,模具表面的應力大小與對應的溫度梯度成正比。因此,根據模具表面溫度場模擬結果分別在模具定模模面的充填前段、中段及尾段取點進行熱應力模擬分析,并對比3個區域的模具表面熱應力變化曲線進行分析,溫度場模擬結構如圖2所示。具體取點位置如圖1所示,A區域中模具表面分別選取A點與間隔3mm的B點;C區域中模具表面分別選取C點與間隔3mm的D點;E區域中模具表面分別選取E點與間隔3mm的F點。

圖1 按距離進澆口不同位置取A點、C點、E點

圖2 A點、C點、E點單循環模具表面溫度變化
圖3為在應力數值模擬結果基礎上輸出的A區域、C區域及E區域在多個壓鑄循環周期內的熱應力變化曲線圖。從圖1可以看出,A-B區域、C-D區域及E-F區域在壓鑄循環周期內所受到的最大壓縮應力出現在合模階段金屬液剛開始充填進型腔模具表面急熱的時候,最大壓縮應力分別為126.5MPa、120.1MPa及119.2MPa,最大拉應力出現在模具開模后模具表面急冷的時候,最大拉應力分別為26.5MPa、20.1MPa及19.2MPa。由模擬結果可以看到,模具表面所受到的最大壓應力與拉應力相差較大。這主要是因為,合模期間,模具定模面不僅受到熱膨脹內部的約束力還受到了動模的鎖模約束力;而在模具打開以后,定模模面只受到收縮內部的約束力。圖4為A區域、C區域及E區域在1個壓鑄循環周期內的模具表面應變變化曲線圖。由圖可知,模具3個區域內最大應變分別為0.034mm、0.025mm及0.022mm。同時發現模具表面的應變最大值出現在模具剛打開的時候。因為定模在模具打開后不再受到動模鎖模力的約束,模具表面從壓應力轉換為拉應力過程是應力大量釋放的過程,過程中模具變形在屈服區外時會伴隨出現彈性變形,因此循環周期后期應變量會出現回落[3]。

圖3 模具A、C、E區域多個周期內表面所受應力變化曲線

圖4 模具A、C、E區域表面應變值變化
